首页 / 产品推荐
明星产品-海藻糖全方位解析

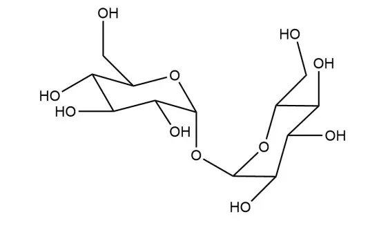
海藻糖是一种二糖,由葡萄糖和半乳糖通过β-1,4-糖苷键结合而成。其化学结构简单而稳定,具有两个羟基基团,使其在生物体内具有良好的溶解性和生物相容性。其在生物学、食品工业、医药领域等方面具有广泛的应用。


【发展历程】

    


海藻糖最早于19世纪末被发现于海藻中,并在20世纪初被成功分离和纯化。随后,海藻糖的研究逐渐深入,其生物学功能和应用领域不断拓展,成为当今糖类研究的重要领域之一。1994年,日本林原株式会社,发明能使用淀粉作为海藻糖生产的技术,至今最少三种生物途径支持海藻糖生物合成,从而使用玉米淀粉工业化产出低成本海藻糖。除甜味较低,升糖指数并不会比蔗糖低。


【作用机制】

1.代谢作用:海藻糖在人体内主要通过海藻糖酶的作用被水解为两分子的葡萄糖。这些葡萄糖分子能够被人体的新陈代谢系统利用,提供能量供应,参与细胞代谢过程,维持正常的生理功能。

 

2.保护作用:海藻糖对生物大分子具有非特异性保护作用。其保护机制主要包括两个方面:一是海藻糖能够与水分子结合,减少水分子与生物大分子的相互作用,从而减缓或防止生物大分子的变性和损伤;二是海藻糖能够与膜脂质共同拥有结合水的功能,代替膜结合水,维持细胞膜的稳定性,保护细胞结构和功能的完整性。

 

3. 与细胞膜的相互作:海藻糖能够与细胞膜中的脂质分子结合,改变膜的物理性质,使其更加稳定。这种相互作用有助于维持细胞膜的完整性和功能,同时还可能影响细胞信号传导、细胞识别和细胞间相互作用等生物学过程。


【特性与用途】


1.稳定性与安全性

  

  海藻糖作为天然双糖之一,具有极佳的稳定性。其不具备还原性,因此在受热或酸碱环境下表现出良好的稳定性。即使在与氨基酸或蛋白质共存的情况下,也不会引发美拉德反应。这使得海藻糖在处理需要加热或高温保存的食品和饮料时成为理想选择。在人体内,海藻糖能够在小肠中被海藻糖酶迅速分解为两分子葡萄糖,为人体提供重要的能量来源,对人体健康安全有益。


2.低吸湿性


  海藻糖具有出色的低吸湿性能。即使在相对湿度超过90%的环境中放置超过一个月,海藻糖也几乎不会吸湿。这种特性使得将海藻糖应用于食品中能够降低产品的吸湿性,从而有效延长产品的保质期。


3.高玻璃化转变温度


  相对于其他双糖,海藻糖具有更高的玻璃化转变温度,可高达115℃。将海藻糖添加到其他食品中能够有效提高其玻璃化转变温度,更容易形成玻璃化状态。这种特性与海藻糖的工艺稳定性和低吸湿性相结合,使其成为一种理想的高蛋白质保护剂和喷雾干燥风味保持剂。


4.非特异性保护作用


  海藻糖作为一种典型的应激代谢物,能够帮助生物体抵抗外部环境变化。同时,海藻糖还具有对生物体内DNA分子的保护作用,防止放射线引起的损伤。外源性的海藻糖也能对生物体产生非特异性的保护作用。其保护机制主要通过与水分子结合,与膜脂质共同拥有结合水的功能,从而防止生物体膜和膜蛋白的变性等。


【应用领域】


1.食品工业:海藻糖作为一种天然甜味剂和稳定剂,被广泛应用于食品加工中,如糕点、饼干、冰淇淋等。

2.医药领域:海藻糖具有抗氧化、抗炎、保护细胞膜等多种生物活性,被用于药物载体、保健品等领域。

3.生物技术:海藻糖在细胞培养、基因工程等生物技术领域具有重要应用,作为碳源、渗透剂等。

4.化妆品:海藻糖具有保湿、抗皱等功效,被广泛用于化妆品中,如面霜、乳液等。


我们的海藻糖



【我们的优势】


种类丰富:常规现货50000+试剂,种类齐全

规格优势:齐全的包装梯度瓶装、袋装、桶装

质量保障:科研级精湛工艺、技术资料证书齐全




在线客服
张栋
张栋
18717199209
刘涛
刘涛
13125137661
刘欢
刘欢
13125137732
在线服务时间: 工作日 9:00-18:00