cas号查询 > 化工产品分类 > 酒石酸氧锑钾

酒石酸氧锑钾

酒石酸氧锑钾

化学品安全说明书(MSDS)

下载MSDS
更新时间:2023/6/21 15:14:35
产品编号:C56669 CAS No.:11071-15-1 品牌:魏氏化学 纯度:98% 分子式:C8H4KO12Sb2- 分子量:574.73
规格 库存 目录价 会员专享价 数量
10KG 10 ¥4900.00 登录后可见
- +
  • 基本信息
  • 相关文档
  • 产品详情
  • 生产工艺流程图
  • 质量标准和检测方法
  • 质检单
  • 光谱
酒石酸氧锑钾基本信息
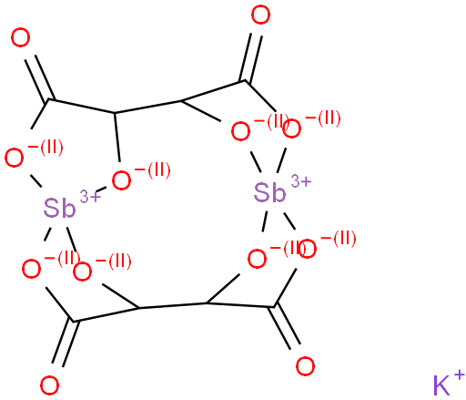
中文名称酒石酸氧锑钾
英文名称L-Antimony potassium tartrate
Cas No.11071-15-1
MDL No.MFCD00148864
性状无色透明结晶体或白色粉末
酒石酸氧锑钾产品详情

酒石酸氧锑钾-11071-15-1


湖北魏氏化学专注酒石酸氧锑钾科研试剂现货供应商

随货提供质检单、检测方法和检测图谱等技术资料


化学名 酒石酸氧锑钾

英文名 L-Antimony potassium tartrate

CAS 号 11071-15-1

分子式:C8H4KO12Sb2-  分子量:574.73


性状:无色透明结晶体或白色粉末

含量:≥99%专业科学准确检测

用途:用于外贸出口、科学研究和化学试剂等领域

包装:20KG/纸板桶,遮光干燥密封储存


酒石酸氧锑钾相关文档

化学品安全说明书(MSDS)

下载MSDS

酒石酸氧锑钾生产工艺流程图

编辑中……

酒石酸氧锑钾质量标准和检测方法

编辑中……

酒石酸氧锑钾质检单

该质检单只对该批号的产品有效,具体批次质检单请查看随货质检单资料。

酒石酸氧锑钾光谱

编辑中……

在线客服
张栋
张栋
18717199209
刘涛
刘涛
13125137661
刘欢
刘欢
13125137732
在线服务时间: 工作日 9:00-18:00