cas号查询 > 化工产品分类 > 磷脂类原料 > 精氨酸加压素

精氨酸加压素

精氨酸加压素

化学品安全说明书(MSDS)

下载MSDS
更新时间:2023/7/6 13:53:38
产品编号:CP002182 CAS No.:113-79-1 品牌:魏氏化学 纯度:99% 分子式:C46H65N15O12S2 分子量:1084.23
规格 库存 目录价 会员专享价 数量

暂无牌价信息,您可以发送询价,我们会尽快给你回复。

  • 基本信息
  • 相关文档
  • 产品详情
  • 生产工艺流程图
  • 质量标准和检测方法
  • 质检单
  • 光谱
精氨酸加压素基本信息
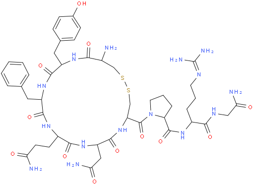
中文名称精氨酸加压素
英文名称Argipressine
Cas No.113-79-1
性状为白色粉末,溶液澄清透明无色
精氨酸加压素产品详情

醋酸精氨酸加压素—113-79-1

 


湖北魏氏化学分析试剂—现货供应商

服务热线  张经理  18717199209(微信同号)

QQ客服2853877583


 


产品名 醋酸精氨酸加压素 

英文名 Argipressine

CAS 号 113-79-1

分子式 C48H69N15O14S2  

分子量1144.29 



外观:为白色粉末,溶液澄清透明无色

含量: ≥99.0% 专业科学准确检检测

作用: 现货出口用于科学研究和化学试剂领域

包装: 10克/玻璃西林瓶

储存:避光,冷藏(-20℃)保存


精氨酸加压素相关文档

化学品安全说明书(MSDS)

下载MSDS

精氨酸加压素生产工艺流程图

编辑中……

精氨酸加压素质量标准和检测方法

编辑中……

精氨酸加压素质检单

该质检单只对该批号的产品有效,具体批次质检单请查看随货质检单资料。

精氨酸加压素光谱

编辑中……

在线客服
张栋
张栋
18717199209
刘涛
刘涛
13125137661
刘欢
刘欢
13125137732
在线服务时间: 工作日 9:00-18:00