cas号查询 > 化工产品分类 > 马拉硫磷

马拉硫磷

马拉硫磷

化学品安全说明书(MSDS)

下载MSDS
更新时间:2023/6/21 15:18:54
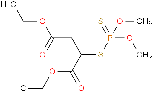
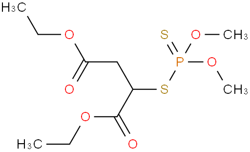
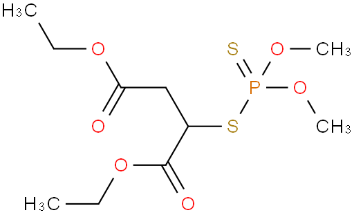
产品编号:CP003223 CAS No.:121-75-5 品牌:魏氏化学 纯度: 分子式:C10H19O6PS2 分子量:330.35
规格 库存 目录价 会员专享价 数量

暂无牌价信息,您可以发送询价,我们会尽快给你回复。

  • 基本信息
  • 相关文档
  • 产品详情
  • 生产工艺流程图
  • 质量标准和检测方法
  • 质检单
  • 光谱
马拉硫磷基本信息
中文名称马拉硫磷
英文名称malathion
Cas No.121-75-5
MDL No.MFCD00036233
性状浅黄色至棕黄色液体
马拉硫磷产品详情

马拉硫磷


中文名 马拉硫磷                       

英文名 Malathion  

中文别名 4049;O,O-二甲基-S-[1,2-二(乙氧基羰基)乙基]二硫代磷酸酯

         马拉松;O,O-二甲基-S-(1,2-二羰乙氧基乙基)二硫代磷酸酯;O,O-二甲

         基-S-[1,2-双(乙氧羰基)乙基]二硫代磷酸酯;高效磷乳油(40%);马拉赛昂;杀虫剂4049

CAS号  121-75-5        

分子式 C10H19O6PS2    分子量 330.358


外 观 液体乳油 

纯度 90% 95% —HPLC—威德利专业检测

熔点         水分              炽灼残渣 

单个杂质<0.1%  总杂质           重金属<10ppm  

作 用    威德利现货出口用于化学试剂及科学领域的研究

         属低毒非内吸性杀虫、杀螨剂,广泛用于农业和园艺,也可用作家庭卫生用药

本品可制成单剂,也可与阿维菌素、辛硫磷、敌敌畏、氰戊菊酯、溴氰菊酯等多种农药复配,形成系列产品。

包装规格 250Kg/桶或按需包装    室温下密闭贮存2年


马拉硫磷相关文档

化学品安全说明书(MSDS)

下载MSDS

马拉硫磷生产工艺流程图

编辑中……

马拉硫磷质量标准和检测方法

编辑中……

马拉硫磷质检单

该质检单只对该批号的产品有效,具体批次质检单请查看随货质检单资料。

马拉硫磷光谱

编辑中……

相关产品
抱歉,暂时没有相关产品
在线客服
张栋
张栋
18717199209
刘涛
刘涛
13125137661
刘欢
刘欢
13125137732
在线服务时间: 工作日 9:00-18:00