cas号查询 > 化工产品分类 > 2,3,4,6-四-O-三甲基硅基-D-葡萄糖酸内酯

2,3,4,6-四-O-三甲基硅基-D-葡萄糖酸内酯

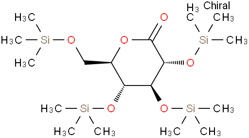
2,3,4,6-四-O-三甲基硅基-D-葡萄糖酸内酯

化学品安全说明书(MSDS)

下载MSDS
更新时间:2023/6/21 15:14:28
产品编号:C56864 CAS No.:32384-65-9 品牌:魏氏化学 纯度:98% 分子式:C18H42O6Si4 分子量:466.87
规格 库存 目录价 会员专享价 数量

暂无牌价信息,您可以发送询价,我们会尽快给你回复。

  • 基本信息
  • 相关文档
  • 产品详情
  • 生产工艺流程图
  • 质量标准和检测方法
  • 质检单
  • 光谱
2,3,4,6-四-O-三甲基硅基-D-葡萄糖酸内酯基本信息
中文名称2,3,4,6-四-O-三甲基硅基-D-葡萄糖酸内酯
英文名称(3R,4S,5R,6R)-3,4,5-tris(triMethylsilyloxy)-6-((triMethylsilyloxy)Methyl)tetrahydro-2H-pyran-2-one
Cas No.32384-65-9
MDL No.MFCD22665922
2,3,4,6-四-O-三甲基硅基-D-葡萄糖酸内酯产品详情

2,3,4,6-四-O-三甲基硅基-D-葡萄糖酸内酯—32384-65-9


湖北魏氏化学专注2,3,4,6-四-O-三甲基硅基-D-葡萄糖酸内酯科研试剂现货供应商

随货提供质检单、检测方法和检测图谱等技术资料


中文名称: 2,3,4,6-四-O-三甲基硅基-D-葡萄糖酸内酯

英文名称: (3R,4S,5R,6R)-3,4,5-tris(triMethylsilyloxy)-6-((triMethylsilyloxy)Methyl)tetrahydro-2H-pyran-2-one

CAS:   32384-65-9

分子式: C18H42O6Si4    分子量 :  466.87


外观与性状:无色至浅黄色油状液体

纯度:99%专业科学准确检测

用途:用于外贸出口、科学研究和化学试剂等领域

包装信息:100G/袋,遮光干燥密封保存


2,3,4,6-四-O-三甲基硅基-D-葡萄糖酸内酯相关文档

化学品安全说明书(MSDS)

下载MSDS

2,3,4,6-四-O-三甲基硅基-D-葡萄糖酸内酯生产工艺流程图

编辑中……

2,3,4,6-四-O-三甲基硅基-D-葡萄糖酸内酯质量标准和检测方法

编辑中……

2,3,4,6-四-O-三甲基硅基-D-葡萄糖酸内酯质检单

该质检单只对该批号的产品有效,具体批次质检单请查看随货质检单资料。

2,3,4,6-四-O-三甲基硅基-D-葡萄糖酸内酯光谱

编辑中……

在线客服
张栋
张栋
18717199209
刘涛
刘涛
13125137661
刘欢
刘欢
13125137732
在线服务时间: 工作日 9:00-18:00