cas号查询 > 化工产品分类 > 橙皮苷

橙皮苷

橙皮苷

化学品安全说明书(MSDS)

下载MSDS
更新时间:2023/6/21 15:16:06
产品编号:CP001620 CAS No.:520-26-3 品牌:魏氏化学 纯度:98% 分子式:C28H34O15 分子量:610.57
规格 库存 目录价 会员专享价 数量

暂无牌价信息,您可以发送询价,我们会尽快给你回复。

  • 基本信息
  • 相关文档
  • 产品详情
  • 生产工艺流程图
  • 质量标准和检测方法
  • 质检单
  • 光谱
橙皮苷基本信息
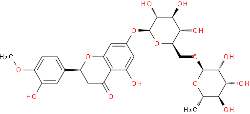
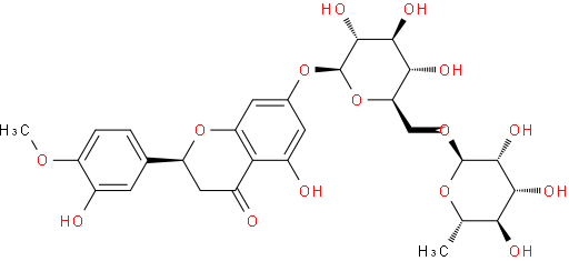
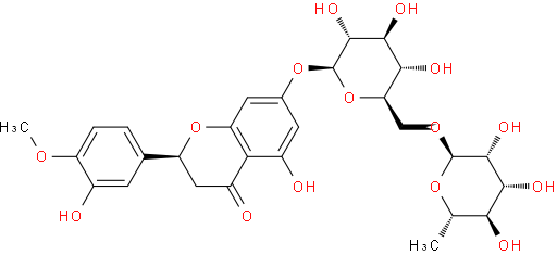
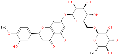
中文名称橙皮苷
英文名称Hesperiden
Cas No.520-26-3
MDL No.MFCD00075663
性状白色到淡黄色结晶或淡棕色粉末结晶性粉末
橙皮苷产品详情

C104 橙皮甙-520-26-3 



产品名 橙皮甙

中文别名 橙皮甙;陈皮甙 ;橙皮苷 ;二氢黄酮苷 ;柑果甙 ;桔皮甙 ;橘皮苷

英文名 Hesperidin 

CAS RN520-26-3   EINECS号 208-288-1

分子式C28H34O15    分子量 610.5606



企业质量标准

性状  为白色到淡黄色结晶或淡棕色粉末结晶性粉末,无臭1无味

溶解性 不溶于水,可溶于热水,微溶于乙醇

熔点 250-255°C   比旋光度 -76 o

含量  98%

优势—专业检测,实验效果显著

作用  现货用于外贸出口、科学研究和试剂生产等领域

包装  25KG/纸板桶

储存  遮光干燥密封2-8℃保存2年

用途 本品为维生素类药,能降低毛细管的脆性,用于高血压病的辅助治疗。也是营养强化剂。主

要用于饮料等食品。

橙皮苷相关文档

化学品安全说明书(MSDS)

下载MSDS

橙皮苷生产工艺流程图

编辑中……

橙皮苷质量标准和检测方法

编辑中……

橙皮苷质检单

该质检单只对该批号的产品有效,具体批次质检单请查看随货质检单资料。

橙皮苷光谱

编辑中……

相关产品
抱歉,暂时没有相关产品
在线客服
张栋
张栋
18717199209
刘涛
刘涛
13125137661
刘欢
刘欢
13125137732
在线服务时间: 工作日 9:00-18:00