cas号查询 > 化工产品分类 > 安丝菌素P-3(束丝放线菌)

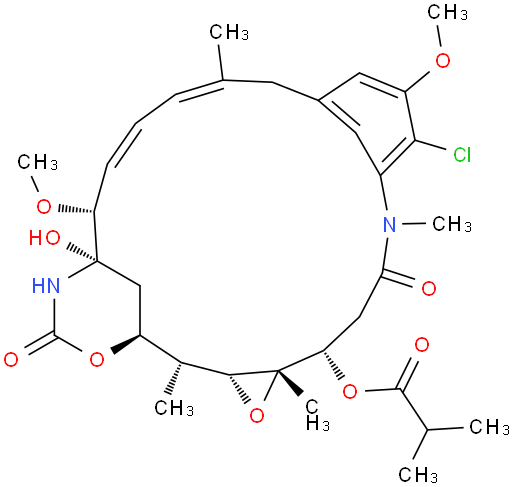
安丝菌素P-3(束丝放线菌)

安丝菌素P-3(束丝放线菌)

化学品安全说明书(MSDS)

下载MSDS
更新时间:2023/6/21 15:17:22
产品编号:CP000471 CAS No.:66547-09-9 品牌:魏氏化学 纯度: 分子式:C32H43N2O9CL 分子量:635.14482
规格 库存 目录价 会员专享价 数量

暂无牌价信息,您可以发送询价,我们会尽快给你回复。

  • 基本信息
  • 相关文档
  • 产品详情
  • 生产工艺流程图
  • 质量标准和检测方法
  • 质检单
  • 光谱
安丝菌素P-3(束丝放线菌)基本信息
中文名称安丝菌素P-3(束丝放线菌)
英文名称ANSAMITOCIN P-3
Cas No.66547-09-9
MDL No.MFCD01939731
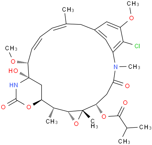
安丝菌素P-3(束丝放线菌)产品详情

安丝菌素P3—66547-09-9


 

湖北魏氏化学专注安丝菌素P3科研试剂现货供应商


随货提供质检单、检测方法和检测图谱等技术资料



产品名:安丝菌素P3


英文名:Ansamitocin P-3


CAS号:66547-09-9   


分子式:C32H43ClN2O9  分子量:635.14


 


外观:为白色或类白色粉末


含量:≥90.0%专业科学准确检测


水分≤3.0%   炽灼残渣≤0.1%  重金属≤20ppm


安丝菌素P-3≥90.0%   


AP-0+AP-1+AP-2+AP-3+AP-3`+AP-4`+AP-4≥97.0%


其它单个杂质≤0.5%   总杂≤3.0%




用于:用于外贸出口、科学研究和化学试剂等领域 


包装:25KG/纸板桶,遮光干燥密封低温2-8℃储存 有效期4年




安丝菌素P-3(束丝放线菌)相关文档

化学品安全说明书(MSDS)

下载MSDS

安丝菌素P-3(束丝放线菌)生产工艺流程图

编辑中……

安丝菌素P-3(束丝放线菌)质量标准和检测方法

编辑中……

安丝菌素P-3(束丝放线菌)质检单

该质检单只对该批号的产品有效,具体批次质检单请查看随货质检单资料。

安丝菌素P-3(束丝放线菌)光谱

编辑中……

相关产品
抱歉,暂时没有相关产品
在线客服
张栋
张栋
18717199209
刘涛
刘涛
13125137661
刘欢
刘欢
13125137732
在线服务时间: 工作日 9:00-18:00