cas号查询 > 化工产品分类 > 柠檬酸二氢胆碱

柠檬酸二氢胆碱

柠檬酸二氢胆碱

化学品安全说明书(MSDS)

下载MSDS
更新时间:2023/6/21 15:15:07
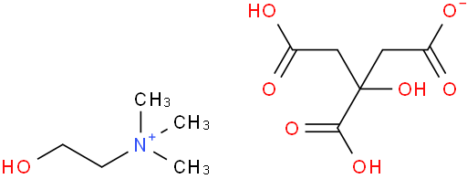
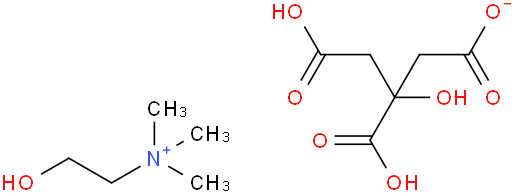
产品编号:CP006592 CAS No.:77-91-8 品牌:魏氏化学 纯度:99% 分子式:C6H7O7.C5H14NO 分子量:295.28634
规格 库存 目录价 会员专享价 数量

暂无牌价信息,您可以发送询价,我们会尽快给你回复。

  • 基本信息
  • 相关文档
  • 产品详情
  • 生产工艺流程图
  • 质量标准和检测方法
  • 质检单
  • 光谱
柠檬酸二氢胆碱基本信息
中文名称柠檬酸二氢胆碱
英文名称Choline dihydrogencitrate salt
Cas No.77-91-8
性状为白色固体
柠檬酸二氢胆碱产品详情

柠檬酸二氢胆碱-77-91-8


湖北魏氏化学分析试剂—现货供应商

随货提供质检单和图谱资料,下单及时快递发货


中文名称:柠檬酸二氢胆碱

英文名称:Cholinedihydrogencitratesalt

CAS号:77-91-8

分子式:C6H7O7.C5H14NO    分子量:295.29


外观:为白色固体

含量:≥99% 专业科学准确检测 

用途:用于外贸出口、科学研究和化学试剂等领域

包装:25KG/袋 遮光干燥密封保存



柠檬酸二氢胆碱相关文档

化学品安全说明书(MSDS)

下载MSDS

柠檬酸二氢胆碱生产工艺流程图

编辑中……

柠檬酸二氢胆碱质量标准和检测方法

编辑中……

柠檬酸二氢胆碱质检单

该质检单只对该批号的产品有效,具体批次质检单请查看随货质检单资料。

柠檬酸二氢胆碱光谱

编辑中……

在线客服
张栋
张栋
18717199209
刘涛
刘涛
13125137661
刘欢
刘欢
13125137732
在线服务时间: 工作日 9:00-18:00