cas号查询 > 化工产品分类 > 西洛芬净

西洛芬净

西洛芬净

化学品安全说明书(MSDS)

下载MSDS
更新时间:2023/6/21 15:16:28
产品编号:CP002034 CAS No.:79404-91-4 品牌:魏氏化学 纯度: 分子式:C49H71N7O17 分子量:1030.12474
规格 库存 目录价 会员专享价 数量

暂无牌价信息,您可以发送询价,我们会尽快给你回复。

  • 基本信息
  • 相关文档
  • 产品详情
  • 生产工艺流程图
  • 生产工艺流程图
  • 质量标准和检测方法
  • 质量标准和检测方法
  • 质检单
  • 质检单
  • 光谱
  • 光谱
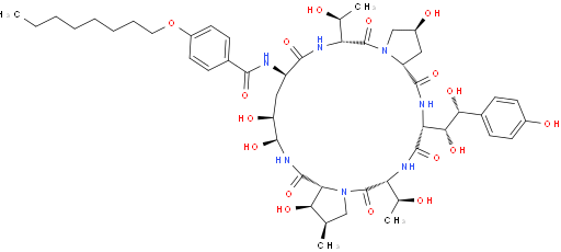
西洛芬净基本信息
中文名称西洛芬净
英文名称Cilofungin
Cas No.79404-91-4
西洛芬净产品详情

西洛芬净


中文名 西洛芬净                       

英文名 Cilofungin

化学名 西洛芬净

CAS号  79404-91-4       

分子式 C49H71N7O17   分子量 1030.13

维斯尔曼出口标准 企业内控                                                  

  

        

外 观  白色结晶性粉末

纯度 >95%—HPLC—维斯尔曼专业检测

作 用    维斯尔曼现货出口用于化学试剂及科学领域的研究

包装规格 100G/铝箔袋或按需包装    室温下密闭贮存2年

西洛芬净相关文档

化学品安全说明书(MSDS)

下载MSDS

西洛芬净生产工艺流程图

编辑中……

西洛芬净生产工艺流程图

编辑中……

西洛芬净质量标准和检测方法

编辑中……

西洛芬净质量标准和检测方法

编辑中……

西洛芬净质检单

该质检单只对该批号的产品有效,具体批次质检单请查看随货质检单资料。

西洛芬净质检单

该质检单只对该批号的产品有效,具体批次质检单请查看随货质检单资料。

西洛芬净光谱

编辑中……

西洛芬净光谱

编辑中……

相关产品
抱歉,暂时没有相关产品
在线客服
张栋
张栋
18717199209
刘涛
刘涛
13125137661
刘欢
刘欢
13125137732
在线服务时间: 工作日 9:00-18:00