cas号查询 > 化工产品分类 > 丙戊酸

丙戊酸

丙戊酸

化学品安全说明书(MSDS)

下载MSDS
更新时间:2023/6/21 15:15:13
产品编号:CP001851 CAS No.:99-66-1 品牌:魏氏化学 纯度:99.0%~101.0% 分子式:C8H16O2 分子量:144.211442947388
规格 库存 目录价 会员专享价 数量

暂无牌价信息,您可以发送询价,我们会尽快给你回复。

  • 基本信息
  • 相关文档
  • 产品详情
  • 生产工艺流程图
  • 质量标准和检测方法
  • 质检单
  • 光谱
丙戊酸基本信息
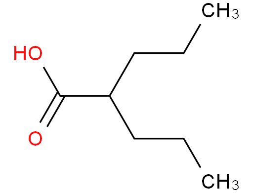
中文名称丙戊酸
英文名称2-Propylpentanoic acid
Cas No.99-66-1
MDL No.MFCD00002672
性状无色或微黄色透明液体
丙戊酸产品详情

丙戊酸—99-66-1


湖北魏氏化学分析试剂—现货供应商

随货提供质检单和图谱资料,下单及时快递发货


中文名丙戊酸 

英文名Valproic acid 

中文同义词2-丙基戊酸 溶液;丙戊酸 溶液;双丙戊酸钠杂质E;丙戊酸/2-丙基戊酸

CAS号: 99-66-1 

分子式C8H16O2  分子量144.21  

 

外观无色或微黄色透明液体,稍有粘性 

含量99.0%~101.0% HPLC专业科学准确检测

用于外贸出口、科学研究和化学试剂等领域

包装1KG/听,遮光干燥密封保存,有效期2年


丙戊酸相关文档

化学品安全说明书(MSDS)

下载MSDS

丙戊酸生产工艺流程图

编辑中……

丙戊酸质量标准和检测方法

编辑中……

丙戊酸质检单

该质检单只对该批号的产品有效,具体批次质检单请查看随货质检单资料。

丙戊酸光谱

编辑中……

在线客服
张栋
张栋
18717199209
刘涛
刘涛
13125137661
刘欢
刘欢
13125137732
在线服务时间: 工作日 9:00-18:00