CAS number query > Classification of chemical products > Bismuth nitrate pentahydrate

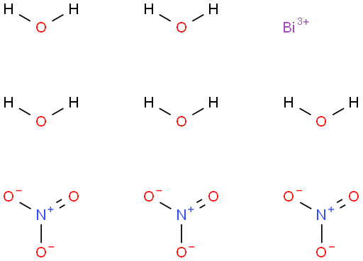
Bismuth nitrate pentahydrate

Bismuth nitrate pentahydrate

Chemical safety data sheet(MSDS)

Download MSDS
Updated on:2023/6/21 15:15:33
Size Availability Price(USD) VIP Price (USD) Quantity

There is no price information at the moment, you can send an inquiry,and we will reply to you as soon as possible.

  • Product Overview
  • Related documents
  • Product details
  • Related literature
Bismuth nitrate pentahydrate Product Overview
Bismuth nitrate pentahydrate Product details

五水硝酸铋—10035-06-0

 

湖北魏氏化学专注打造五水硝酸铋生科研试剂现货供应商

随货提供质检单、检测方法和检测图谱等技术资料


 

产品名 五水硝酸铋

英文名 Bismuth nitrate pentahydrate 

CAS 号 10035-06-0  

分子式 BiH10N3O14   分子量 485.07

 

品牌—湖北魏氏化学生化卫士  型号—HBWS-W197   

质量标准  出口参照USP/EP标准

 

外观 为白色结晶 

含量 ≥99.00% HPLC专业科学准确检测

用于 用于外贸出口、科学研究和化学试剂等领域

包装 25KG/纸板桶  

储存 遮光干燥密封储存,有效期2年



Bismuth nitrate pentahydrate Related documents

Chemical safety data sheet(MSDS)

Download MSDS

Bismuth nitrate pentahydrate Related literature
Sorry, there is no relevant literature
Related
Sorry, no related items
Service
Online service time: 9:00-18:00 on weekdays