CAS number query > Classification of chemical products > Vasopressin

Vasopressin

Vasopressin

Chemical safety data sheet(MSDS)

Download MSDS
Updated on:2023/6/21 15:16:42
Size Availability Price(USD) VIP Price (USD) Quantity

There is no price information at the moment, you can send an inquiry,and we will reply to you as soon as possible.

  • Product Overview
  • Related documents
  • Product details
  • Related literature
Vasopressin Product Overview
Vasopressin Product details

加压素-11000-17-2    

 

湖北魏氏化学专注打造加压素科研试剂现货供应商

随货提供质检单、检测方法和检测图谱等技术资料


 

中文名 加压素 垂体后叶素;后叶加压素;抗利尿激素                      

英文名 Vasopressin

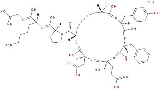
化学名 H-Cys-Tyr-Phe-Gln-Asn-Cys-Pro-Arg-Gly-NH2(Cys and Cys bridge)

CAS号  11000-17-2       

分子式 C46H65N13O12S2    分子量 1056.22

 

              

外观 白色结晶性粉末

纯度 ≥98%专业科学准确检测

 用于外贸出口、科学研究和化学试剂等领域

包装 10G/瓶 50克/瓶或按需包装储存温度 2-8℃


Vasopressin Related documents

Chemical safety data sheet(MSDS)

Download MSDS

Vasopressin Related literature
Sorry, there is no relevant literature
Related
Sorry, no related items
Service
Online service time: 9:00-18:00 on weekdays