CAS number query > Classification of chemical products > Phospholipid > Argipressine

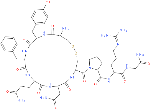
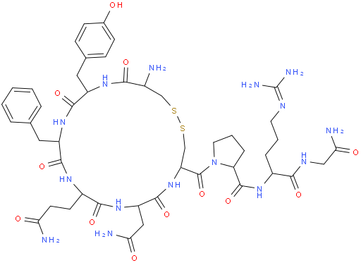
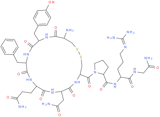
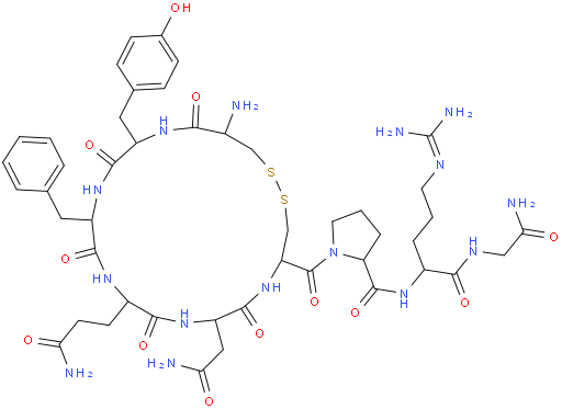
Argipressine

Argipressine

Chemical safety data sheet(MSDS)

Download MSDS
Updated on:2023/7/6 13:53:38
Size Availability Price(USD) VIP Price (USD) Quantity

There is no price information at the moment, you can send an inquiry,and we will reply to you as soon as possible.

  • Product Overview
  • Related documents
  • Product details
  • Related literature
Argipressine Product Overview
Argipressine Product details

醋酸精氨酸加压素—113-79-1

 


湖北魏氏化学分析试剂—现货供应商

服务热线  张经理  18717199209(微信同号)

QQ客服2853877583


 


产品名 醋酸精氨酸加压素 

英文名 Argipressine

CAS 号 113-79-1

分子式 C48H69N15O14S2  

分子量1144.29 



外观:为白色粉末,溶液澄清透明无色

含量: ≥99.0% 专业科学准确检检测

作用: 现货出口用于科学研究和化学试剂领域

包装: 10克/玻璃西林瓶

储存:避光,冷藏(-20℃)保存


Argipressine Related documents

Chemical safety data sheet(MSDS)

Download MSDS

Argipressine Related literature
Sorry, there is no relevant literature
Service
Online service time: 9:00-18:00 on weekdays