CAS number query > Classification of chemical products > Neostigmine bromide

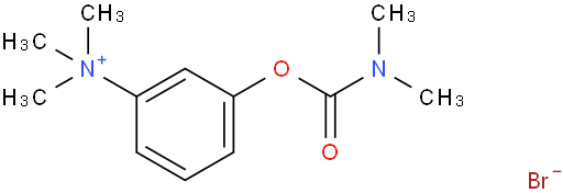
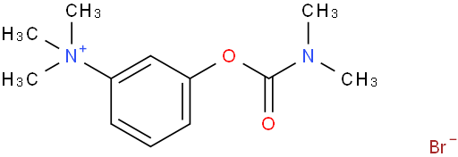
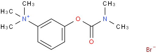
Neostigmine bromide

Neostigmine bromide

Chemical safety data sheet(MSDS)

Download MSDS
Updated on:2023/6/21 15:16:27
Size Availability Price(USD) VIP Price (USD) Quantity

There is no price information at the moment, you can send an inquiry,and we will reply to you as soon as possible.

  • Product Overview
  • Related documents
  • Product details
  • Related literature
Neostigmine bromide Product Overview
Neostigmine bromide Product details

溴化新斯的明—114-80-7

 

湖北魏氏化学专注打造溴化新斯的明科研试剂现货供应商

随货提供质检单、检测方法和检测图谱等技术资料


 

中文名 溴化新斯的明;溴新斯的明;普洛斯的明 

英文名 Neostigmine Bromide

CAS RN 114-80-7 

分子式 C12H19BrN2O2 分子量303.1955

 

 

外观 为白色或类白色结晶性粉末

含量 ≥98.5% 专业科学准确检测

用途 用于外贸出口、科学研究和化学试剂等领域

包装 25KG/纸板桶 遮光干燥密封保存2年



Neostigmine bromide Related documents

Chemical safety data sheet(MSDS)

Download MSDS

Neostigmine bromide Related literature
Sorry, there is no relevant literature
Related
Sorry, no related items
Service
Online service time: 9:00-18:00 on weekdays