CAS number query > Classification of chemical products > Phospholipid > Melanotan II

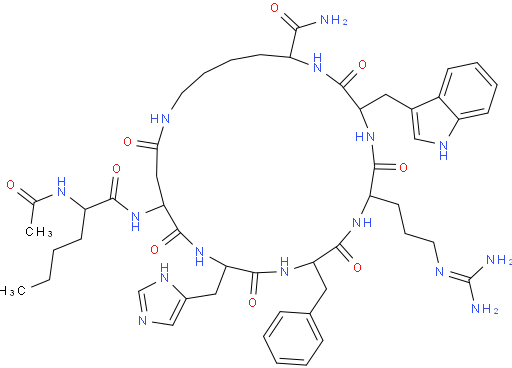
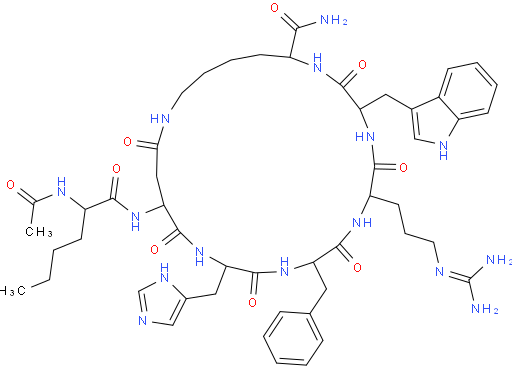
Melanotan II

Melanotan II

Chemical safety data sheet(MSDS)

Download MSDS
Updated on:2023/6/21 15:16:57
Size Availability Price(USD) VIP Price (USD) Quantity

There is no price information at the moment, you can send an inquiry,and we will reply to you as soon as possible.

  • Product Overview
  • Related documents
  • Product details
  • Related literature
Melanotan II Product Overview
Melanotan II Product details

美那诺坦—121062-08-6

 


湖北魏氏化学专注打造美那诺坦科研试剂现货供应商

随货提供质检单、检测方法和检测图谱等技术资料



产品名 美那诺坦 

英文名 Melanotan II

CAS 号 121062-08-6

分子式 C50H69N15O9           分子量1024.18 

 


外观:为白色或类白色蓬松粉末

含量: ≥ 98.5% 专业科学准确检测

作用: 现货出口用于化学试剂及科学领域的研究   

包装: 50克/瓶

储存:储存温度 2-8℃


Melanotan II Related documents

Chemical safety data sheet(MSDS)

Download MSDS

Melanotan II Related literature
Sorry, there is no relevant literature
Service
Online service time: 9:00-18:00 on weekdays