CAS number query > Classification of chemical products > Spinosad

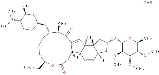
Spinosad

Spinosad

Chemical safety data sheet(MSDS)

Download MSDS
Updated on:2023/6/21 15:17:09
Size Availability Price(USD) VIP Price (USD) Quantity

There is no price information at the moment, you can send an inquiry,and we will reply to you as soon as possible.

  • Product Overview
  • Related documents
  • Product details
  • Related literature
Spinosad Product Overview
Spinosad Product details

多杀霉素A131929-60-7



湖北魏氏化学专注多杀菌素科研试剂现货供应商

随货质检单、检测方法和检测图谱等技术资料

 


中文名 多杀菌素

中文同义词 多杀菌素A

英文名称 SPINOSAD

CAS号131929-60-7  

分子式 C41H65NO10  分子量 731.96

   


外观 白色粉末

含量 ≥97%专业科学准确检测

用途 用作外贸出口、科学研究和化学试剂等领域

包装 25KG纸板桶,遮光干燥密封保存


Spinosad Related documents

Chemical safety data sheet(MSDS)

Download MSDS

Spinosad Related literature
Sorry, there is no relevant literature
Service
Online service time: 9:00-18:00 on weekdays