CAS number query > Classification of chemical products > Narirutin

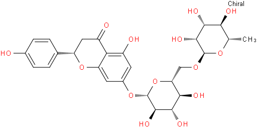
Narirutin

Narirutin

Chemical safety data sheet(MSDS)

Download MSDS
Updated on:2023/6/21 15:14:30
Size Availability Price(USD) VIP Price (USD) Quantity

There is no price information at the moment, you can send an inquiry,and we will reply to you as soon as possible.

  • Product Overview
  • Related documents
  • Product details
  • Related literature
Narirutin Product Overview
Narirutin Product details

芸香柚皮苷—14259-46-2


湖北魏氏化学分析试剂—现货供应商

随货提供质检单和图谱资料,下单及时快递发货

服务热线  刘先生13125137661


中文名称:芸香柚皮苷

英文名称:NARIRUTIN

CAS号:14259-46-2

分子式:C27H32O14    分子量:580.53


外观:淡黄色固体

含量:≥99% 专业科学准确检测 

用途:用于外贸出口、科学研究和化学试剂等领域

包装:25KG/纸板桶 遮光干燥密封保存


Narirutin Related documents

Chemical safety data sheet(MSDS)

Download MSDS

Narirutin Related literature
Sorry, there is no relevant literature
Service
Online service time: 9:00-18:00 on weekdays