CAS number query > Classification of chemical products > Abiraterone acetate

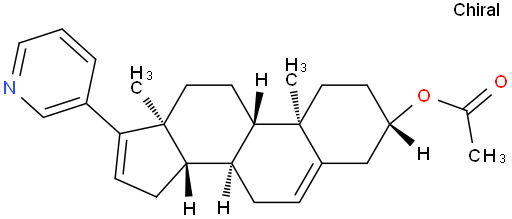
Abiraterone acetate

Abiraterone acetate

Chemical safety data sheet(MSDS)

Download MSDS
Updated on:2023/6/21 15:18:23
Size Availability Price(USD) VIP Price (USD) Quantity

There is no price information at the moment, you can send an inquiry,and we will reply to you as soon as possible.

  • Product Overview
  • Related documents
  • Product details
  • Related literature
Abiraterone acetate Product Overview
Abiraterone acetate Product details

乙酸阿比特龙酯科研试剂—154229-18-2

 


湖北魏氏化学专注非乙酸阿比特龙酯科研试剂现货供应商

随货质检单、检测方法和检测图谱等技术资料



产品名 乙酸阿比特龙酯

英文名 Abiraterone acetate

中文同义词 醋酸阿比特龙;阿比特隆醋酸酯;阿比特龙醋酸盐

CAS 号 154229-18-2   

分子式 C26H33NO2   

分子量 391.55



性状 为白色或类白色结晶性粉末 

含量 ≥99.0% HPLC专业科学准确检测

作用 现货用于外贸出口、科学研究和试剂生产等领域 

包装 10KG/纸桶 

储存 遮光干燥密封



Abiraterone acetate Related documents

Chemical safety data sheet(MSDS)

Download MSDS

Abiraterone acetate Related literature
Sorry, there is no relevant literature
Service
Online service time: 9:00-18:00 on weekdays