CAS number query > Classification of chemical products > Eptifibatide

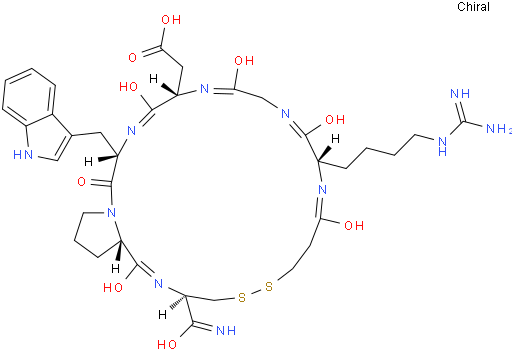
Eptifibatide

Eptifibatide

Chemical safety data sheet(MSDS)

Download MSDS
Updated on:2023/6/21 15:12:55
Size Availability Price(USD) VIP Price (USD) Quantity

There is no price information at the moment, you can send an inquiry,and we will reply to you as soon as possible.

  • Product Overview
  • Related documents
  • Product details
  • Related literature
Eptifibatide Product Overview
Eptifibatide Product details

依替巴肽—188627-80-7


湖北魏氏化学分析试剂—现货供应商

随货提供质检单和图谱资料,下单及时快递发货


中文名称:依替巴肽

英文名称:Eptifibatide

CAS号:188627-80-7

分子式:C35H49N11O9S2    分子量:831.96


性状 为白色粉末

含量 ≥98% 专业科学准确检测

作用 用于外贸出口、科学研究和试剂生产等领域

包装 1KG/袋,遮光干燥密封保存


Eptifibatide Related documents

Chemical safety data sheet(MSDS)

Download MSDS

Eptifibatide Related literature
Sorry, there is no relevant literature
Related
Sorry, no related items
Service
Online service time: 9:00-18:00 on weekdays