CAS number query > Classification of chemical products > Tetraammineplatinum(II) nitrate

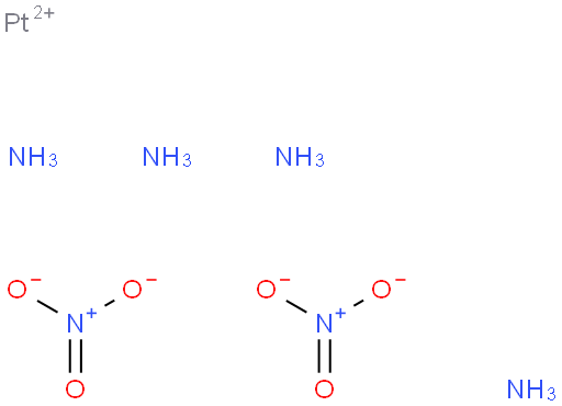
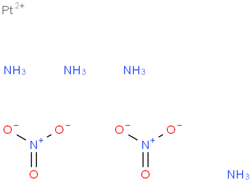
Tetraammineplatinum(II) nitrate

Tetraammineplatinum(II) nitrate

Chemical safety data sheet(MSDS)

Download MSDS
Updated on:2023/6/21 15:16:38
Size Availability Price(USD) VIP Price (USD) Quantity

There is no price information at the moment, you can send an inquiry,and we will reply to you as soon as possible.

  • Product Overview
  • Related documents
  • Product details
  • Related literature
Tetraammineplatinum(II) nitrate Product Overview
Tetraammineplatinum(II) nitrate Product details

硝酸四氨合铂



中文名 硝酸四氨合铂                       

英文名 Tetraammineplatinum dinitrate

化学名 硝酸四氨铂;四氨合硝酸铂;硝酸四胺鉑;四氨基硝酸铂;

CAS号  20634-12-2        

分子式 H12N6O6Pt   分子量 387.21


                 

外 观  白色结晶性粉末

贵金属含量 ≥50%

作 用    维斯尔曼现货出口用于化学试剂及科学领域的研究

包装规格 100G/瓶或按需包装    低温密闭贮存2年

Tetraammineplatinum(II) nitrate Related documents

Chemical safety data sheet(MSDS)

Download MSDS

Tetraammineplatinum(II) nitrate Related literature
Sorry, there is no relevant literature
Related
Sorry, no related items
Service
Online service time: 9:00-18:00 on weekdays