CAS number query > Classification of chemical products > 2-AMINO-4-(3-NITROPHENYL)PYRIMIDINE

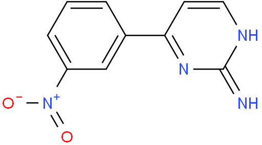
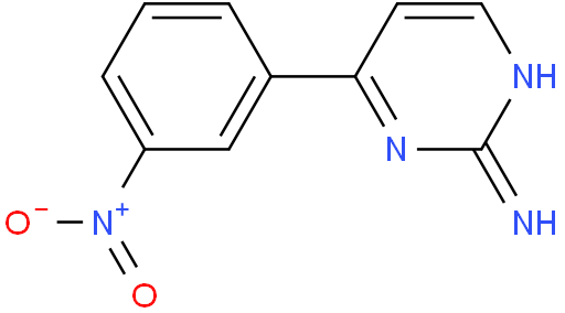
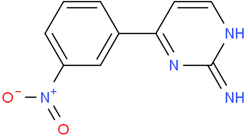
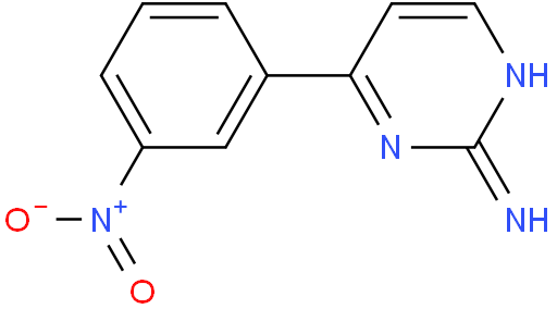
2-AMINO-4-(3-NITROPHENYL)PYRIMIDINE

2-AMINO-4-(3-NITROPHENYL)PYRIMIDINE

Chemical safety data sheet(MSDS)

Download MSDS
Updated on:2023/6/21 15:13:00
Size Availability Price(USD) VIP Price (USD) Quantity

There is no price information at the moment, you can send an inquiry,and we will reply to you as soon as possible.

  • Product Overview
  • Related documents
  • Product details
  • Related literature
2-AMINO-4-(3-NITROPHENYL)PYRIMIDINE Product Overview
2-AMINO-4-(3-NITROPHENYL)PYRIMIDINE Product details

4-(3-硝基苯基)嘧啶-2-胺—240136-69-0


湖北魏氏化学分析试剂—现货供应商

随货提供质检单和图谱资料,下单及时快递发货


中文名称:4-(3-硝基苯基)嘧啶-2-胺

英文名称:2-AMINO-4-(3-NITROPHENYL)PYRIMIDINE

CAS号:240136-69-0

分子式:C10H8N4O2    分子量:216.2


含量 ≥95% 专业科学精准检测

作用 用于外贸出口、科学研究和试剂生产等领域

包装 10G/瓶,遮光干燥密封保存


2-AMINO-4-(3-NITROPHENYL)PYRIMIDINE Related documents

Chemical safety data sheet(MSDS)

Download MSDS

2-AMINO-4-(3-NITROPHENYL)PYRIMIDINE Related literature
Sorry, there is no relevant literature
Related
Sorry, no related items
Service
Online service time: 9:00-18:00 on weekdays