CAS number query > Classification of chemical products > Acetylspiramycin

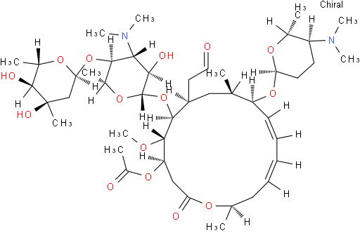
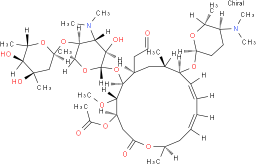
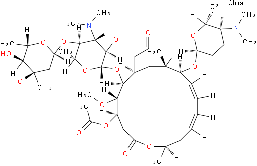
Acetylspiramycin

Acetylspiramycin

Chemical safety data sheet(MSDS)

Download MSDS
Updated on:2023/6/21 15:17:56
Size Availability Price(USD) VIP Price (USD) Quantity

There is no price information at the moment, you can send an inquiry,and we will reply to you as soon as possible.

  • Product Overview
  • Related documents
  • Product details
  • Related literature
Acetylspiramycin Product Overview
Acetylspiramycin Product details

乙酰螺旋霉素-24916-51-6 

 

湖北魏氏化学专注乙酰螺旋霉素科研试剂现货供应商

随货质检单、检测方法和检测图谱等技术资料


 

中文名 乙酰螺旋霉素

英文名  Acetylspiramycin 

CAS RN  24916-51-6 

分子式  C45H76N2O15   分子量885.0893

 

性状为白色或微黄色粉未;味苦

纯度:98%专业科学准确检测

:用于外贸出口、科学研究和化学试剂等领域

包装:20KG/纸板桶,有效期为3年


Acetylspiramycin Related documents

Chemical safety data sheet(MSDS)

Download MSDS

Acetylspiramycin Related literature
Sorry, there is no relevant literature
Service
Online service time: 9:00-18:00 on weekdays