CAS number query > Classification of chemical products > D-Norleucine

D-Norleucine

D-Norleucine

Chemical safety data sheet(MSDS)

Download MSDS
Updated on:2023/6/21 15:14:11
Size Availability Price(USD) VIP Price (USD) Quantity

There is no price information at the moment, you can send an inquiry,and we will reply to you as soon as possible.

  • Product Overview
  • Related documents
  • Product details
  • Related literature
D-Norleucine Product Overview
D-Norleucine Product details

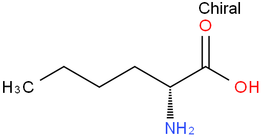
D-正亮氨酸—327-56-0


中文名称:D-正亮氨酸

英文名称:D-Norleucine

CAS:327-56-0

分子式:C6H13NO2

分子量:131.17


含量:95%-102%(HPLC)专业科学精准检测 

作用:用于外贸出口、科学研究和化学试剂等领域 

包装:25KG/桶 500G/瓶  100G/瓶  10G/瓶

储存:遮光干燥密封储存 有效期3年


D-Norleucine Related documents

Chemical safety data sheet(MSDS)

Download MSDS

D-Norleucine Related literature
Sorry, there is no relevant literature
Related
Sorry, no related items
Service
Online service time: 9:00-18:00 on weekdays