CAS number query > Classification of chemical products > Cesium hydroxide monohydrate

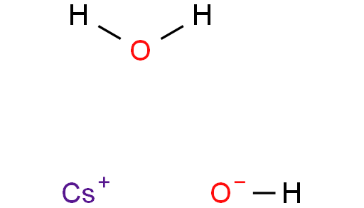
Cesium hydroxide monohydrate

Cesium hydroxide monohydrate

Chemical safety data sheet(MSDS)

Download MSDS
Updated on:2023/6/21 15:16:37
Size Availability Price(USD) VIP Price (USD) Quantity
500G 10 Inquiry Inquiry Unable to place an order
  • Product Overview
  • Related documents
  • Product details
  • Related literature
Cesium hydroxide monohydrate Product Overview
Cesium hydroxide monohydrate Product details

氢氧化铯—35103-79-8


湖北魏氏化学专注氢氧化铯科研试剂现货供应商

随货质检单、检测方法和检测图谱等技术资料



产品名:氢氧化铯 

英文名:Cesium hydroxide 

CAS 号:35103-79-8   EINECS号:244-344-1 

分子式:CsHO      分子量:149.91


外观:白色结晶

含量:≥99.0% 专业科学准确检测 

用于:用于外贸出口、科学研究和化学试剂等领域  

包装:1KG/铝箔袋 遮光干燥密封储存  有效期1年


Cesium hydroxide monohydrate Related documents

Chemical safety data sheet(MSDS)

Download MSDS

Cesium hydroxide monohydrate Related literature
Sorry, there is no relevant literature
Service
Online service time: 9:00-18:00 on weekdays