CAS number query > Classification of chemical products > Phospholipid > Tetrabutylammonium tetrafluoroborate

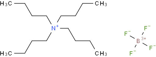
Tetrabutylammonium tetrafluoroborate

Tetrabutylammonium tetrafluoroborate

Chemical safety data sheet(MSDS)

Download MSDS
Updated on:2023/6/21 15:15:12
Size Availability Price(USD) VIP Price (USD) Quantity

There is no price information at the moment, you can send an inquiry,and we will reply to you as soon as possible.

  • Product Overview
  • Related documents
  • Product details
  • Related literature
Tetrabutylammonium tetrafluoroborate Product Overview
Tetrabutylammonium tetrafluoroborate Product details

四丁基氟硼酸铵-429-42-5

 

湖北魏氏化学专注四丁基氟硼酸铵科研试剂现货供应商

随货质检单、检测方法和检测图谱等技术资料


中文名 四丁基氟硼酸铵

英文名  Tetrabutylammonium tetrafluoroborat 

中文同义词 四丁基氟硼酸铵;四丁基四氟硼酸铵;四氟硼四丁基铵;四丁基氟硼酸铵98%;四丁基铵四氟硼酸盐N4,4,4,4PF6

CAS号:429-42-5   分子式:C16H36BF4N

分子量:329.27    


外观为白色或类白色固体

含量≥98%专业科学准确检测

:用于外贸出口、科学研究和化学试剂等领域

包装25KG/纸桶遮光干燥密封保存,有效期1年



Tetrabutylammonium tetrafluoroborate Related documents

Chemical safety data sheet(MSDS)

Download MSDS

Tetrabutylammonium tetrafluoroborate Related literature
Sorry, there is no relevant literature
Service
Online service time: 9:00-18:00 on weekdays