CAS number query > Classification of chemical products > trimethyl orthobutyrate

trimethyl orthobutyrate

trimethyl orthobutyrate

Chemical safety data sheet(MSDS)

Download MSDS
Updated on:2023/6/21 15:15:27
Size Availability Price(USD) VIP Price (USD) Quantity

There is no price information at the moment, you can send an inquiry,and we will reply to you as soon as possible.

  • Product Overview
  • Related documents
  • Product details
  • Related literature
trimethyl orthobutyrate Product Overview
trimethyl orthobutyrate Product details

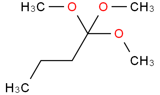
原丁酸三甲酯—43083-12-1



湖北魏氏化学专注原丁酸三甲酯科研试剂现货供应商随货提供质检单、检测方法和检测图谱等技术资料



中文名 原丁酸三甲酯英文名 Trimethyl orthobutyrate中文同义词 邻三甲基丁酸;1,1,1-三甲氧基丁烷CAS号 43083-12-1分子式 C7H16O3     分子量 148.2



外观 为无色透明液体含量 ≥99%(HPLC)专业科学精准检测用于 用于外贸出口、科学研究和化学试剂等领域包装 25KG/桶 5KG/桶 1KG/瓶储存 遮光干燥密封保存,有效期2年


trimethyl orthobutyrate Related documents

Chemical safety data sheet(MSDS)

Download MSDS

trimethyl orthobutyrate Related literature
Sorry, there is no relevant literature
Service
Online service time: 9:00-18:00 on weekdays