CAS number query > Classification of chemical products > Hesperiden

Hesperiden

Hesperiden

Chemical safety data sheet(MSDS)

Download MSDS
Updated on:2023/6/21 15:16:06
Size Availability Price(USD) VIP Price (USD) Quantity

There is no price information at the moment, you can send an inquiry,and we will reply to you as soon as possible.

  • Product Overview
  • Related documents
  • Product details
  • Related literature
Hesperiden Product Overview
Hesperiden Product details

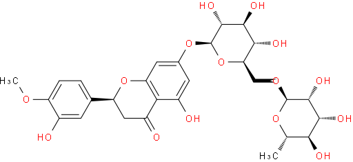
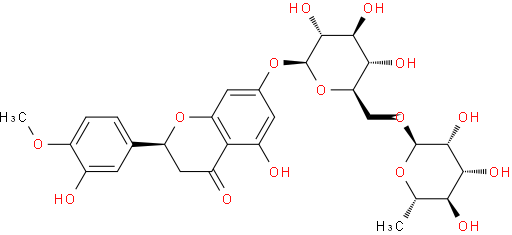
C104 橙皮甙-520-26-3 



产品名 橙皮甙

中文别名 橙皮甙;陈皮甙 ;橙皮苷 ;二氢黄酮苷 ;柑果甙 ;桔皮甙 ;橘皮苷

英文名 Hesperidin 

CAS RN520-26-3   EINECS号 208-288-1

分子式C28H34O15    分子量 610.5606



企业质量标准

性状  为白色到淡黄色结晶或淡棕色粉末结晶性粉末,无臭1无味

溶解性 不溶于水,可溶于热水,微溶于乙醇

熔点 250-255°C   比旋光度 -76 o

含量  98%

优势—专业检测,实验效果显著

作用  现货用于外贸出口、科学研究和试剂生产等领域

包装  25KG/纸板桶

储存  遮光干燥密封2-8℃保存2年

用途 本品为维生素类药,能降低毛细管的脆性,用于高血压病的辅助治疗。也是营养强化剂。主

要用于饮料等食品。

Hesperiden Related documents

Chemical safety data sheet(MSDS)

Download MSDS

Hesperiden Related literature
Sorry, there is no relevant literature
Related
Sorry, no related items
Service
Online service time: 9:00-18:00 on weekdays