CAS number query > Classification of chemical products > Phospholipid > magnesium dipropionate

magnesium dipropionate

magnesium dipropionate

Chemical safety data sheet(MSDS)

Download MSDS
Updated on:2023/6/21 15:14:14
Size Availability Price(USD) VIP Price (USD) Quantity
1KG 10 Inquiry Inquiry Unable to place an order
500KG 10 Inquiry Inquiry Unable to place an order
  • Product Overview
  • Related documents
  • Product details
  • Related literature
magnesium dipropionate Product Overview
magnesium dipropionate Product details

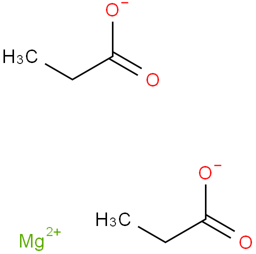
丙酸镁—557-27-7


湖北魏氏化学分析试剂—现货供应商

随货提供质检单和图谱资料,下单及时快递发货


中文名称:丙酸镁

英文名称:magnesium dipropionate

CAS号:557-27-7

分子式:C6H10MgO4 分子量:170.4462


性状 白色或淡黄色结晶体

含量 ≥98% 专业科学准确检测

作用 用于外贸出口、科学研究和试剂生产等领域

包装 25KG/桶, 遮光干燥密封保存


magnesium dipropionate Related documents

Chemical safety data sheet(MSDS)

Download MSDS

magnesium dipropionate Related literature
Sorry, there is no relevant literature
Service
Online service time: 9:00-18:00 on weekdays