CAS number query > Classification of chemical products > ANSAMITOCIN P-3

ANSAMITOCIN P-3

ANSAMITOCIN P-3

Chemical safety data sheet(MSDS)

Download MSDS
Updated on:2023/6/21 15:17:22
Size Availability Price(USD) VIP Price (USD) Quantity

There is no price information at the moment, you can send an inquiry,and we will reply to you as soon as possible.

  • Product Overview
  • Related documents
  • Product details
  • Related literature
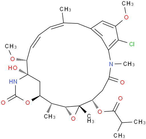
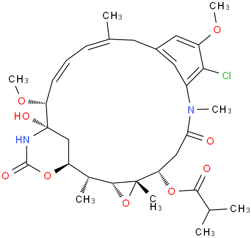
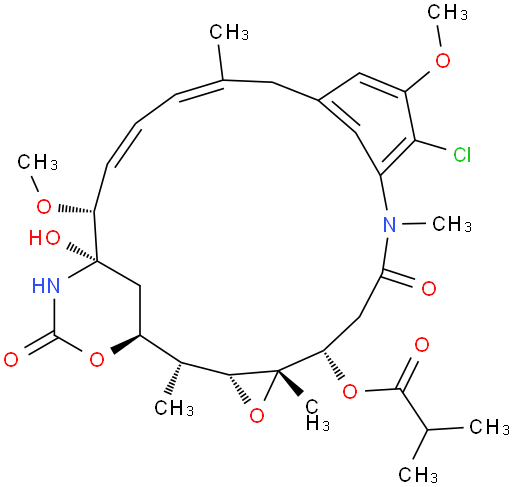
ANSAMITOCIN P-3 Product Overview
ANSAMITOCIN P-3 Product details

安丝菌素P3—66547-09-9


 

湖北魏氏化学专注安丝菌素P3科研试剂现货供应商


随货提供质检单、检测方法和检测图谱等技术资料



产品名:安丝菌素P3


英文名:Ansamitocin P-3


CAS号:66547-09-9   


分子式:C32H43ClN2O9  分子量:635.14


 


外观:为白色或类白色粉末


含量:≥90.0%专业科学准确检测


水分≤3.0%   炽灼残渣≤0.1%  重金属≤20ppm


安丝菌素P-3≥90.0%   


AP-0+AP-1+AP-2+AP-3+AP-3`+AP-4`+AP-4≥97.0%


其它单个杂质≤0.5%   总杂≤3.0%




用于:用于外贸出口、科学研究和化学试剂等领域 


包装:25KG/纸板桶,遮光干燥密封低温2-8℃储存 有效期4年




ANSAMITOCIN P-3 Related documents

Chemical safety data sheet(MSDS)

Download MSDS

ANSAMITOCIN P-3 Related literature
Sorry, there is no relevant literature
Related
Sorry, no related items
Service
Online service time: 9:00-18:00 on weekdays