CAS number query > Classification of chemical products > Phospholipid > Calcium phosphate monobasic

Calcium phosphate monobasic

Calcium phosphate monobasic

Chemical safety data sheet(MSDS)

Download MSDS
Updated on:2023/6/21 15:14:43
Size Availability Price(USD) VIP Price (USD) Quantity

There is no price information at the moment, you can send an inquiry,and we will reply to you as soon as possible.

  • Product Overview
  • Related documents
  • Product details
  • Related literature
Calcium phosphate monobasic Product Overview
Calcium phosphate monobasic Product details

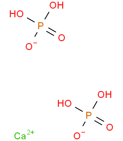
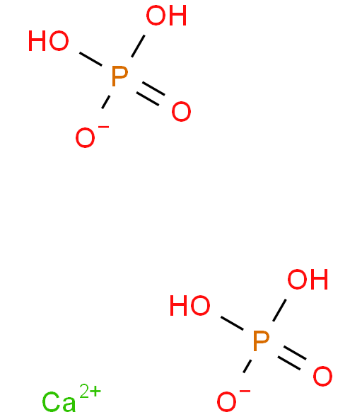
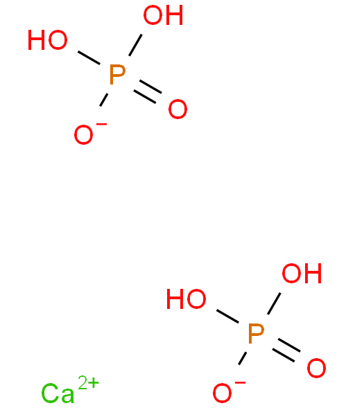
磷酸二氢钙—7758-23-8

 

湖北魏氏化学专注磷酸二氢钙科研试剂现货供应商

随货质检单、检测方法和检测图谱等技术资料


中文名称:磷酸二氢钙

英文名称:Calcium phosphate monobasic

CAS号:7758-23-8     

分子式:CaH4O8P2      分子量:234.05  

 

外观:为白色单斜结晶粉末、无臭无味

纯度:≥90%专业科学准确检测

用途现货出口用于科学研究和化学试剂领域

包装信息:25KG/纸板桶

储存遮光干燥密封保存




Calcium phosphate monobasic Related documents

Chemical safety data sheet(MSDS)

Download MSDS

Calcium phosphate monobasic Related literature
Sorry, there is no relevant literature
Service
Online service time: 9:00-18:00 on weekdays