CAS number query > Classification of chemical products > Trans-ethyl dicyclohexylformic acid

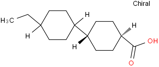
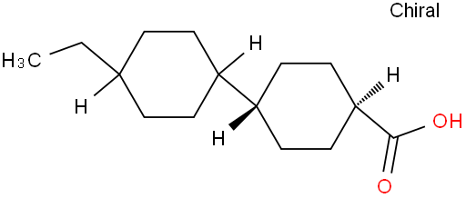
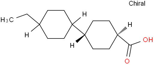
Trans-ethyl dicyclohexylformic acid

Trans-ethyl dicyclohexylformic acid

Chemical safety data sheet(MSDS)

Download MSDS
Updated on:2023/6/21 15:12:24
Size Availability Price(USD) VIP Price (USD) Quantity

There is no price information at the moment, you can send an inquiry,and we will reply to you as soon as possible.

  • Product Overview
  • Related documents
  • Product details
  • Related literature
Trans-ethyl dicyclohexylformic acid Product Overview
Trans-ethyl dicyclohexylformic acid Product details

反式乙基双环己基甲酸—84976-67-0

 

湖北魏氏化学专注科研试剂现货供应商


随货质检单、检测方法和检测图谱等技术资料


 


产品名 反式乙基双环己基甲酸


英文名 Trans-ethyl dicyclohexylformic acid


CAS 号 84976-67-0


分子式: C15H26O2   分子量:238.37



性状:为白色粉末


含量:≥99.0%专业科学准确检测


用途: 外贸出口、科学研究和化学试剂等领域 


包装:1KG/瓶  25kg/纸板桶   干燥阴凉处密封保存 


Trans-ethyl dicyclohexylformic acid Related documents

Chemical safety data sheet(MSDS)

Download MSDS

Trans-ethyl dicyclohexylformic acid Related literature
Sorry, there is no relevant literature
Related
Sorry, no related items
Service
Online service time: 9:00-18:00 on weekdays