CAS number query > Classification of chemical products > 2,6-Dimethylbenzenamine

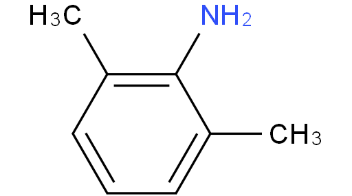
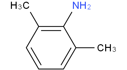
2,6-Dimethylbenzenamine

2,6-Dimethylbenzenamine

Chemical safety data sheet(MSDS)

Download MSDS
Updated on:2023/6/21 15:17:32
Size Availability Price(USD) VIP Price (USD) Quantity

There is no price information at the moment, you can send an inquiry,and we will reply to you as soon as possible.

  • Product Overview
  • Related documents
  • Product details
  • Related literature
2,6-Dimethylbenzenamine Product Overview
2,6-Dimethylbenzenamine Product details

2,6-二甲基苯胺



产品名称:2,6-二甲基苯胺

英文名称:2,6-Dimethylaniline

CAS号:87-62-7     EINECS号:201-758-7

分子式:C8H11N   分子量:121.18



含量:99.8%

包装:25kg/纸板桶

用途:2,6-二甲基苯胺是杀菌剂甲霜灵、苯霜灵、呋霜灵和除草剂异丁草胺的中间体。

      农药、医药及兽药的中间体。在农药行业用于生产高效杀菌剂甲霜灵、呋霜灵、

      呋酰胺、甲呋酰胺、苯霜灵、杀毒矾和高效低毒选择性除草剂异丁草胺、特瑞多(二甲草胺)

      和咪唑胺等;在医药行业用于生产麻醉药盐酸利多卡因、盐酸布比卡因、盐酸室

      安卡因、托卡铵、杜娟素等药物。此外,它还是生产兽药静松灵的原料

2,6-Dimethylbenzenamine Related documents

Chemical safety data sheet(MSDS)

Download MSDS

2,6-Dimethylbenzenamine Related literature
Sorry, there is no relevant literature
Related
Sorry, no related items
Service
Online service time: 9:00-18:00 on weekdays