五水合硝酸铋
五水合硝酸铋
更新时间:2023/6/21 15:15:33
产品编号:
CAS No.:
品牌:
纯度:
分子式:
分子量:
选择规格
选择数量
- +
五水合硝酸铋基本信息
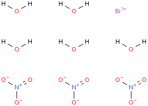
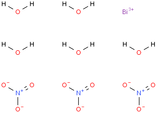
中文名称五水合硝酸铋
英文名称Bismuth nitrate pentahydrate
Cas No.10035-06-0
MDL No.MFCD00149157
性状三斜结晶。 易溶于硝酸。溶于甘油、丙酮、稀酸。不溶于乙醇、醋酸乙酯。
五水合硝酸铋产品详情

五水硝酸铋—10035-06-0

 

湖北魏氏化学专注打造五水硝酸铋生科研试剂现货供应商

随货提供质检单、检测方法和检测图谱等技术资料


 

产品名 五水硝酸铋

英文名 Bismuth nitrate pentahydrate 

CAS 号 10035-06-0  

分子式 BiH10N3O14   分子量 485.07

 

品牌—湖北魏氏化学生化卫士  型号—HBWS-W197   

质量标准  出口参照USP/EP标准

 

外观 为白色结晶 

含量 ≥99.00% HPLC专业科学准确检测

用于 用于外贸出口、科学研究和化学试剂等领域

包装 25KG/纸板桶  

储存 遮光干燥密封储存,有效期2年



五水合硝酸铋生产工艺流程图

编辑中……

五水合硝酸铋质量标准和检测方法

编辑中……

五水合硝酸铋质检单

该质检单只对该批号的产品有效,具体批次质检单请查看随货质检单资料。

五水合硝酸铋光谱

编辑中……

相关产品
抱歉,暂时没有相关产品
浏览记录