吡铂
吡铂
更新时间:2023/6/21 15:16:45
产品编号:
CAS No.:
品牌:
纯度:
分子式:
分子量:
选择规格
选择数量
- +
吡铂基本信息
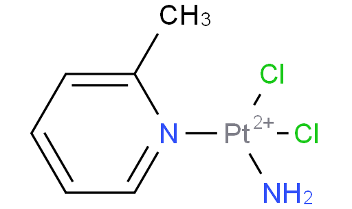
中文名称吡铂
英文名称Picoplatin
Cas No.181630-15-9
性状淡黄色固体
吡铂产品详情

啶铂181630-15-9


湖北魏氏化学专注打造吡铂科研试剂现货供应商

随货提供质检单、检测方法和检测图谱等技术资料


 

中文名称 吡铂

英文名称 Picoplatin

CAS号 181630-15-9

分子式 C6H7N.Cl2Pt    分子量 359.114

 

外观 淡黄色固体

含量 ≥98%专业科学准确检测,提升科研试验精准数据

作用 现货用于外贸出口、科学研究和试剂生产等领域

包装 25KG/纸板桶 

储存 遮光干燥密封2-8℃保存2年


吡铂生产工艺流程图

编辑中……

吡铂生产工艺流程图

编辑中……

吡铂质量标准和检测方法

编辑中……

吡铂质量标准和检测方法

编辑中……

吡铂质检单

该质检单只对该批号的产品有效,具体批次质检单请查看随货质检单资料。

吡铂质检单

该质检单只对该批号的产品有效,具体批次质检单请查看随货质检单资料。

吡铂光谱

编辑中……

吡铂光谱

编辑中……

相关产品
抱歉,暂时没有相关产品