氨基葡萄糖硫酸钠盐
氨基葡萄糖硫酸钠盐
更新时间:2023/6/21 15:17:01
产品编号:
CAS No.:
品牌:
纯度:
分子式:
分子量:
选择规格
选择数量
- +
氨基葡萄糖硫酸钠盐基本信息
中文名称氨基葡萄糖硫酸钠盐
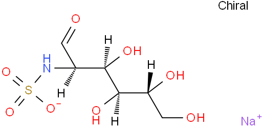
英文名称Sodium ((2R,3R,4S,5R)-3,4,5,6-tetrahydroxy-1-oxohexan-2-yl)sulfamate
Cas No.38899-05-7
MDL No.MFCD09832124
性状白色结晶粉末
氨基葡萄糖硫酸钠盐产品详情

D-氨基葡萄糖硫酸钠盐38899-05-7

 


湖北魏氏化学专注D-氨基葡萄糖硫酸钠盐科研试剂现货供应商

随货提供质检单、检测方法和检测图谱等技术资料

 


中文别名  氨基葡萄糖硫酸钠盐

英文名称  D-glucosamine 2-sulfate sodium

CAS 号   38899-05-7

分子式  C6H12NNaO8S     分子量  281.21

 


外观 白色结晶粉末 

含量 96%-104%专业科学准确检测

 用于外贸出口、科学研究和化学试剂等领域

包装 25kg纸板桶遮光干燥密封储存 


氨基葡萄糖硫酸钠盐生产工艺流程图

编辑中……

氨基葡萄糖硫酸钠盐质量标准和检测方法

编辑中……

氨基葡萄糖硫酸钠盐质检单

该质检单只对该批号的产品有效,具体批次质检单请查看随货质检单资料。

氨基葡萄糖硫酸钠盐光谱

编辑中……

浏览记录