帕米膦酸钠
帕米膦酸钠
更新时间:2023/6/21 15:19:06
产品编号:
CAS No.:
品牌:
纯度:
分子式:
分子量:
选择规格
选择数量
- +
帕米膦酸钠基本信息
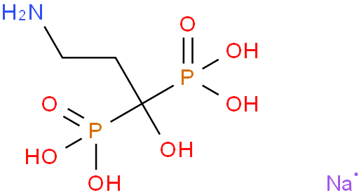
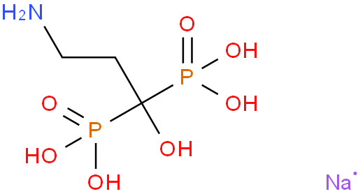
中文名称帕米膦酸钠
英文名称3-AMINO-1-HYDROXYPROPYLIDENE-BISPHOSPHONIC ACID, 2NA, PENTAHYDRATE
Cas No.57248-88-1
MDL No.MFCD01938386
性状白色或类白色结晶性粉末,无臭,略有引湿性
帕米膦酸钠产品详情

帕米膦酸二钠57248-88-1


湖北魏氏化学专注帕米膦酸二钠科研试剂现货供应商

随货提供质检单、检测方法和检测图谱等技术资料



中文名 帕米膦酸二钠;帕米膦酸钠

英文名 Pamidronate Disodium 

化学名 3-氨基-1-羟基丙亚基-1,1-二磷酸二钠 

CAS RN 57248-88-1  EINECS号 260-647-1

分子式 C3H9NNa2O7P2  分子量 279.03

 

外观 白色或类白色结晶性粉末,无臭,略有引湿性

含量 ≥99%专业科学准确检测

用途 用于外贸出口、科学研究和试剂生产等领域

包装 5KG/纸板桶 遮光干燥密封 保存2年


帕米膦酸钠生产工艺流程图

编辑中……

帕米膦酸钠生产工艺流程图

编辑中……

帕米膦酸钠质量标准和检测方法

编辑中……

帕米膦酸钠质检单

该质检单只对该批号的产品有效,具体批次质检单请查看随货质检单资料。

帕米膦酸钠光谱

编辑中……

浏览记录