诺那莫林
诺那莫林
更新时间:2023/6/21 15:16:41
产品编号:
CAS No.:
品牌:
纯度:
分子式:
分子量:
选择规格
选择数量
- +
诺那莫林基本信息
中文名称诺那莫林
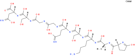
英文名称L-Asparagine,5-oxo-L-prolyl-L-alanyl-L-lysyl-L-seryl-L-glutaminylglycylglycyl-L-seryl-
Cas No.63958-90-7
MDL No.MFCD00076882
性状为白色或类白色结晶性粉末
诺那莫林产品详情

血清胸腺因子-63958-90-7

 

湖北魏氏化学专注打造血清胸腺因子科研试剂现货供应商

随货提供质检单、检测方法和检测图谱等技术资料


 

中文名 血清胸腺因子

中文同义词  诺那莫林;胸腺九肽

英文名 SERUM THYMIC FACTOR

CAS号 63958-90-7  

分子式 C33H54N12O15  分子量 858.85

 

 

性状 为白色或类白色结晶性粉末

含量 ≥98% 专业科学准确检测

 用于外贸出口、科学研究和化学试剂等领域

包装 10G/铝箔袋遮光干燥密封低温保存2年


诺那莫林生产工艺流程图

编辑中……

诺那莫林生产工艺流程图

编辑中……

诺那莫林质量标准和检测方法

编辑中……

诺那莫林质量标准和检测方法

编辑中……

诺那莫林质检单

该质检单只对该批号的产品有效,具体批次质检单请查看随货质检单资料。

诺那莫林质检单

该质检单只对该批号的产品有效,具体批次质检单请查看随货质检单资料。

诺那莫林光谱

编辑中……

诺那莫林光谱

编辑中……

相关产品
抱歉,暂时没有相关产品