五水合硝酸铋
Bismuth nitrate pentahydrate
Updated on:2023/6/21 15:15:33
Size
Quantity
- +
Bismuth nitrate pentahydrate Product Overview
Bismuth nitrate pentahydrate Product details

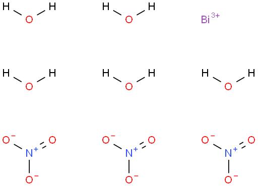
五水硝酸铋—10035-06-0

 

湖北魏氏化学专注打造五水硝酸铋生科研试剂现货供应商

随货提供质检单、检测方法和检测图谱等技术资料


 

产品名 五水硝酸铋

英文名 Bismuth nitrate pentahydrate 

CAS 号 10035-06-0  

分子式 BiH10N3O14   分子量 485.07

 

品牌—湖北魏氏化学生化卫士  型号—HBWS-W197   

质量标准  出口参照USP/EP标准

 

外观 为白色结晶 

含量 ≥99.00% HPLC专业科学准确检测

用于 用于外贸出口、科学研究和化学试剂等领域

包装 25KG/纸板桶  

储存 遮光干燥密封储存,有效期2年



Bismuth nitrate pentahydrate Related literature
Related
Sorry, no related items