吡铂
Picoplatin
Updated on:2023/6/21 15:16:45
Size
Quantity
- +
Picoplatin Product Overview
Picoplatin Product details

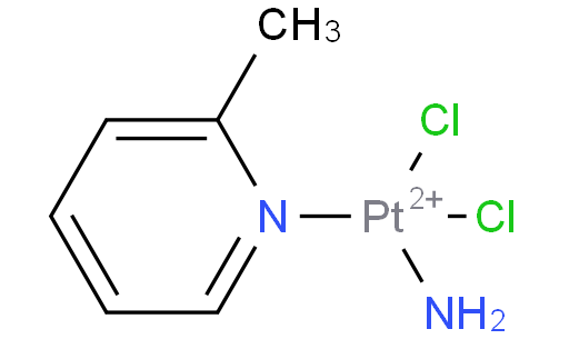
啶铂181630-15-9


湖北魏氏化学专注打造吡铂科研试剂现货供应商

随货提供质检单、检测方法和检测图谱等技术资料


 

中文名称 吡铂

英文名称 Picoplatin

CAS号 181630-15-9

分子式 C6H7N.Cl2Pt    分子量 359.114

 

外观 淡黄色固体

含量 ≥98%专业科学准确检测,提升科研试验精准数据

作用 现货用于外贸出口、科学研究和试剂生产等领域

包装 25KG/纸板桶 

储存 遮光干燥密封2-8℃保存2年


Picoplatin Related literature
Related
Sorry, no related items