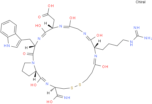
依替巴肽
Eptifibatide
Updated on:2023/6/21 15:12:55
Size
Quantity
- +
Eptifibatide Product Overview
Eptifibatide Product details

依替巴肽—188627-80-7


湖北魏氏化学分析试剂—现货供应商

随货提供质检单和图谱资料,下单及时快递发货


中文名称:依替巴肽

英文名称:Eptifibatide

CAS号:188627-80-7

分子式:C35H49N11O9S2    分子量:831.96


性状 为白色粉末

含量 ≥98% 专业科学准确检测

作用 用于外贸出口、科学研究和试剂生产等领域

包装 1KG/袋,遮光干燥密封保存


Eptifibatide Related literature
Related
Sorry, no related items