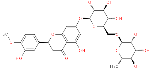
橙皮苷
Hesperiden
Updated on:2023/6/21 15:16:06
Size
Quantity
- +
Hesperiden Product Overview
Hesperiden Product details

C104 橙皮甙-520-26-3 



产品名 橙皮甙

中文别名 橙皮甙;陈皮甙 ;橙皮苷 ;二氢黄酮苷 ;柑果甙 ;桔皮甙 ;橘皮苷

英文名 Hesperidin 

CAS RN520-26-3   EINECS号 208-288-1

分子式C28H34O15    分子量 610.5606



企业质量标准

性状  为白色到淡黄色结晶或淡棕色粉末结晶性粉末,无臭1无味

溶解性 不溶于水,可溶于热水,微溶于乙醇

熔点 250-255°C   比旋光度 -76 o

含量  98%

优势—专业检测,实验效果显著

作用  现货用于外贸出口、科学研究和试剂生产等领域

包装  25KG/纸板桶

储存  遮光干燥密封2-8℃保存2年

用途 本品为维生素类药,能降低毛细管的脆性,用于高血压病的辅助治疗。也是营养强化剂。主

要用于饮料等食品。

Hesperiden Related literature
Related
Sorry, no related items
History