cas号查询 > 化工产品分类 > 氨基三亚甲基膦酸

氨基三亚甲基膦酸

氨基三亚甲基膦酸

化学品安全说明书(MSDS)

下载MSDS
更新时间:2023/6/21 15:17:21
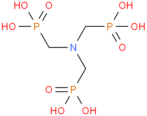
产品编号:CP007232 CAS No.:6419-19-8 品牌:魏氏化学 纯度: 分子式:C3H12NO9P3 分子量:299.05008
规格 库存 目录价 会员专享价 数量

暂无牌价信息,您可以发送询价,我们会尽快给你回复。

  • 基本信息
  • 相关文档
  • 产品详情
  • 生产工艺流程图
  • 质量标准和检测方法
  • 质检单
  • 光谱
氨基三亚甲基膦酸基本信息
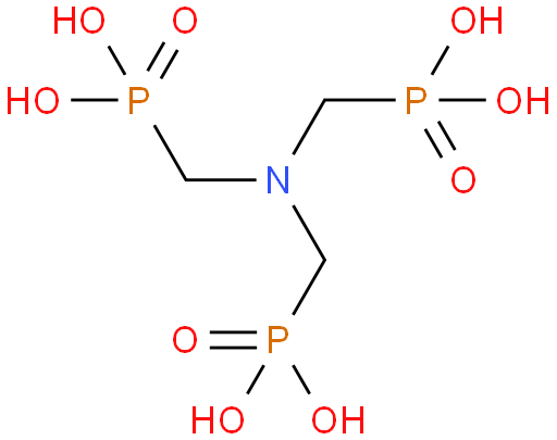
中文名称氨基三亚甲基膦酸
英文名称(Nitrilotris(methylene))triphosphonic acid
Cas No.6419-19-8
MDL No.MFCD00002138
性状固体
氨基三亚甲基膦酸产品详情

氯基三甲叉膦酸


中文名 ATMP;氨基三甲叉膦酸;ATMPA                   

英文名 Nitrilotrimethylene Triphosphonic Acid

化学名 次氮基三亚甲基三膦酸、次氮基三亚甲基磷酸

CAS号 6419-19-8         

分子式 N(CH2PO3H2)3    分子量 299.05


外 观  无色或淡黄色透明液体

活性组分(以ATMP计) % ≥50%—维斯尔曼专业检测

氨基三甲叉膦酸含量 % ≥40%

磷酸(以PO43-计) % ≤0.8  氯化物(以Cl-计) % ≤2.0

铁(以Fe2+计)含量mg/L ≤20    pH(1%水溶液)  1.5-2.5

作 用    维斯尔曼现货出口用于化学试剂及科学领域的研究

包装规格 ATMP液体用塑料桶包装,每桶30kg或250kg     室温下密闭贮存2年

ATMP固体用内衬聚乙烯袋的塑料编织袋包装,每袋净重25kg;

贮于室内阴凉通风处,防潮、严防曝晒,贮存期十个月。

氨基三亚甲基膦酸相关文档

化学品安全说明书(MSDS)

下载MSDS

氨基三亚甲基膦酸生产工艺流程图

编辑中……

氨基三亚甲基膦酸质量标准和检测方法

编辑中……

氨基三亚甲基膦酸质检单

该质检单只对该批号的产品有效,具体批次质检单请查看随货质检单资料。

氨基三亚甲基膦酸光谱

编辑中……

相关产品
抱歉,暂时没有相关产品
在线客服
张栋
张栋
18717199209
刘涛
刘涛
13125137661
刘欢
刘欢
13125137732
在线服务时间: 工作日 9:00-18:00