CAS number query > Classification of chemical products > L-Antimony potassium tartrate

L-Antimony potassium tartrate

L-Antimony potassium tartrate

Chemical safety data sheet(MSDS)

Download MSDS
Updated on:2023/6/21 15:14:35
Size Availability Price(USD) VIP Price (USD) Quantity
10KG 10 Inquiry Inquiry Unable to place an order
  • Product Overview
  • Related documents
  • Product details
  • Related literature
L-Antimony potassium tartrate Product Overview
L-Antimony potassium tartrate Product details

酒石酸氧锑钾-11071-15-1


湖北魏氏化学专注酒石酸氧锑钾科研试剂现货供应商

随货提供质检单、检测方法和检测图谱等技术资料


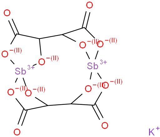
化学名 酒石酸氧锑钾

英文名 L-Antimony potassium tartrate

CAS 号 11071-15-1

分子式:C8H4KO12Sb2-  分子量:574.73


性状:无色透明结晶体或白色粉末

含量:≥99%专业科学准确检测

用途:用于外贸出口、科学研究和化学试剂等领域

包装:20KG/纸板桶,遮光干燥密封储存


L-Antimony potassium tartrate Related documents

Chemical safety data sheet(MSDS)

Download MSDS

L-Antimony potassium tartrate Related literature
Sorry, there is no relevant literature
Service
Online service time: 9:00-18:00 on weekdays